Texpile manages citations, equation labels, cover pages, and templates so you can focus on writing.

Write scientific papers with full LaTeX equation support, automatic citations, and professional formatting. Export to multiple formats when you're ready.
Start Writing for FreeFull LaTeX equation support
Automatic citation formatting
LaTeX source code
Markdown (coming soon)
DOCX (coming soon)
Snap-to-grid alignment
Bezier curves and arcs
Layer management
TikZ code generation

Did we mention all the formatting is also generated? Texpile allows you to focus on what matters.

Automatically generated with the right layout and metadata.

Figures, equations, and references labeled automatically.

Automatically generated citation list based on how many references you use.
Export to any format in 3 clicks—just choose a template.

Academic paper template following APA 7th Edition student format guidelines for psychology, education, and social sciences.

Compact multi-column formula reference sheet for exams and quick reference.

IEEE conference paper template with two-column format. Supports column-spanning figures and tables.

Professional template for laboratory instructional documents and handouts. Ideal for instructors creating lab exercises.

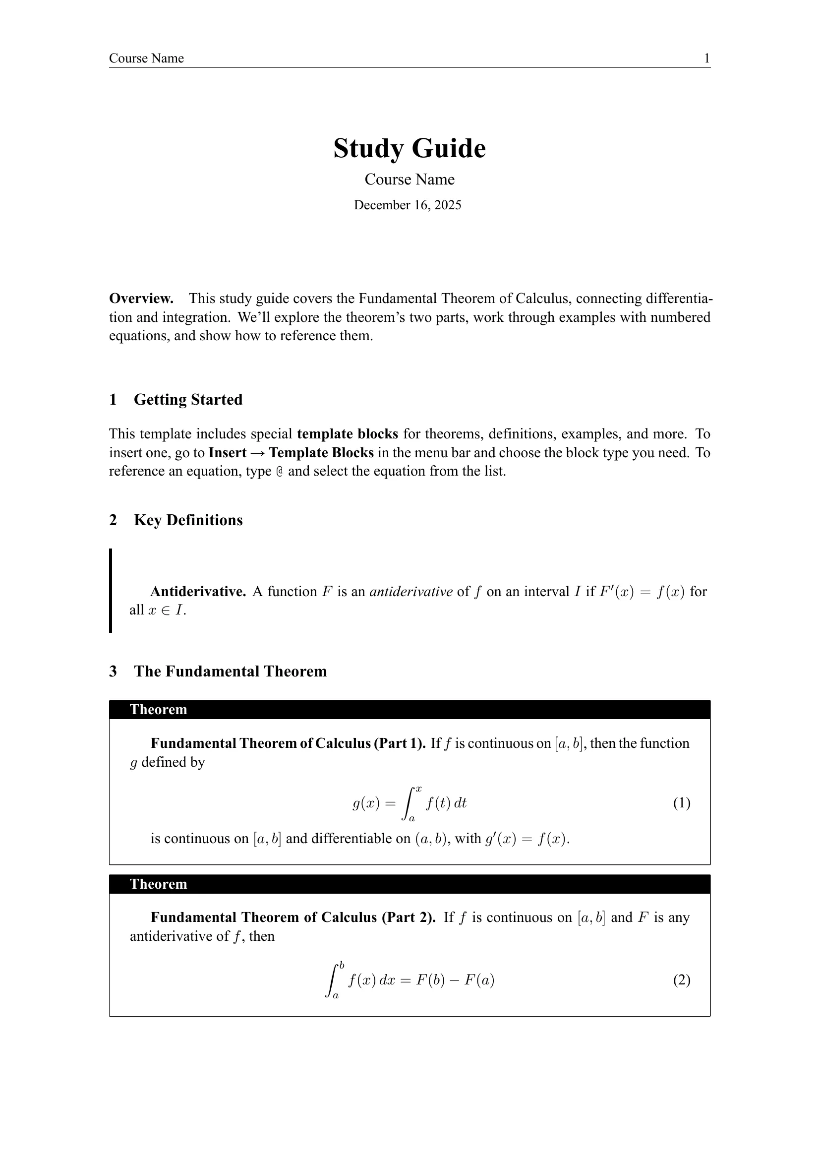
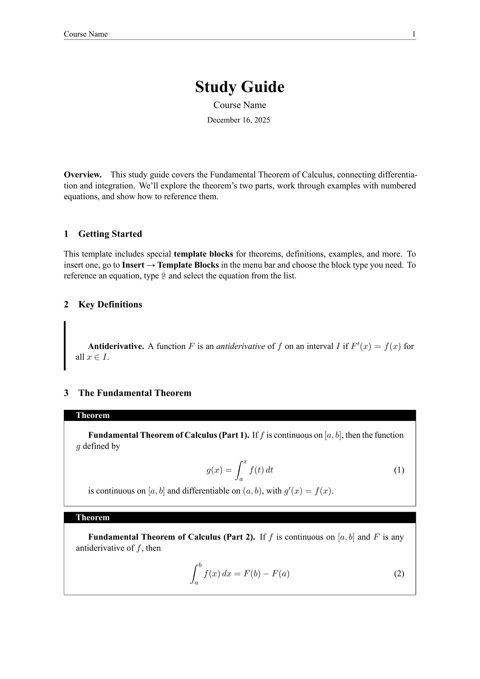
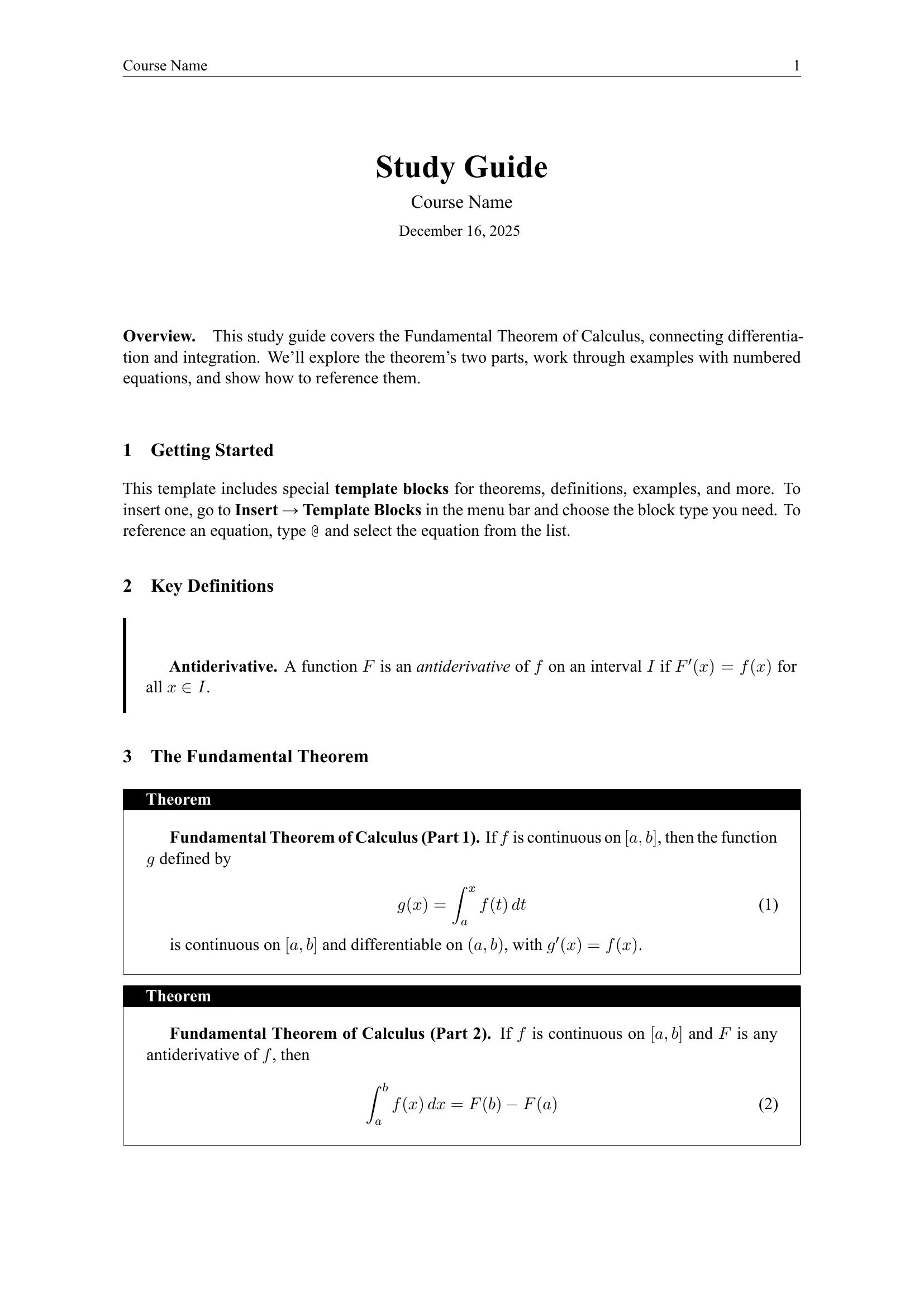
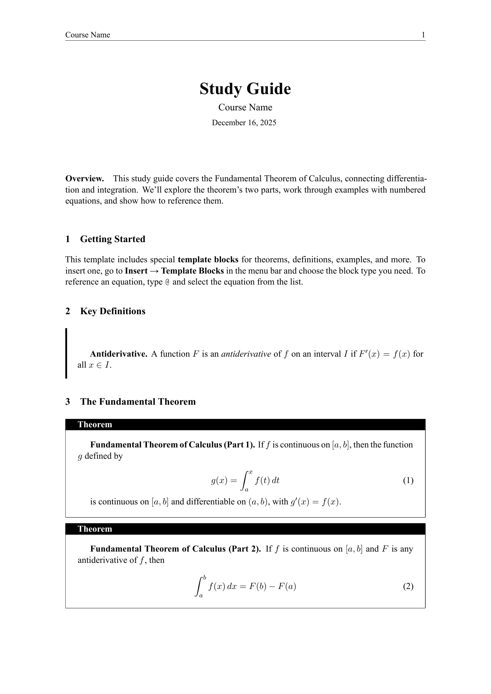
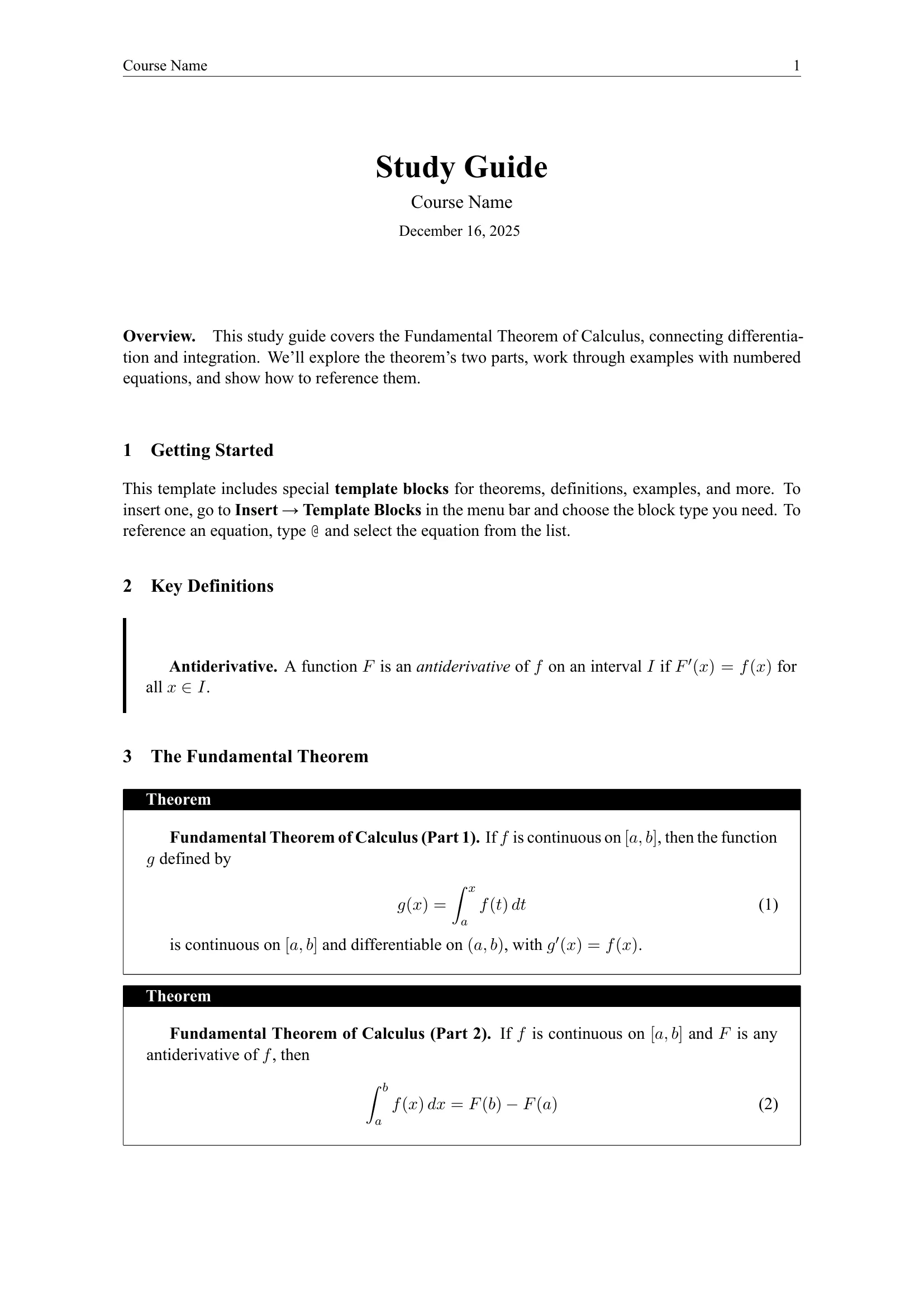
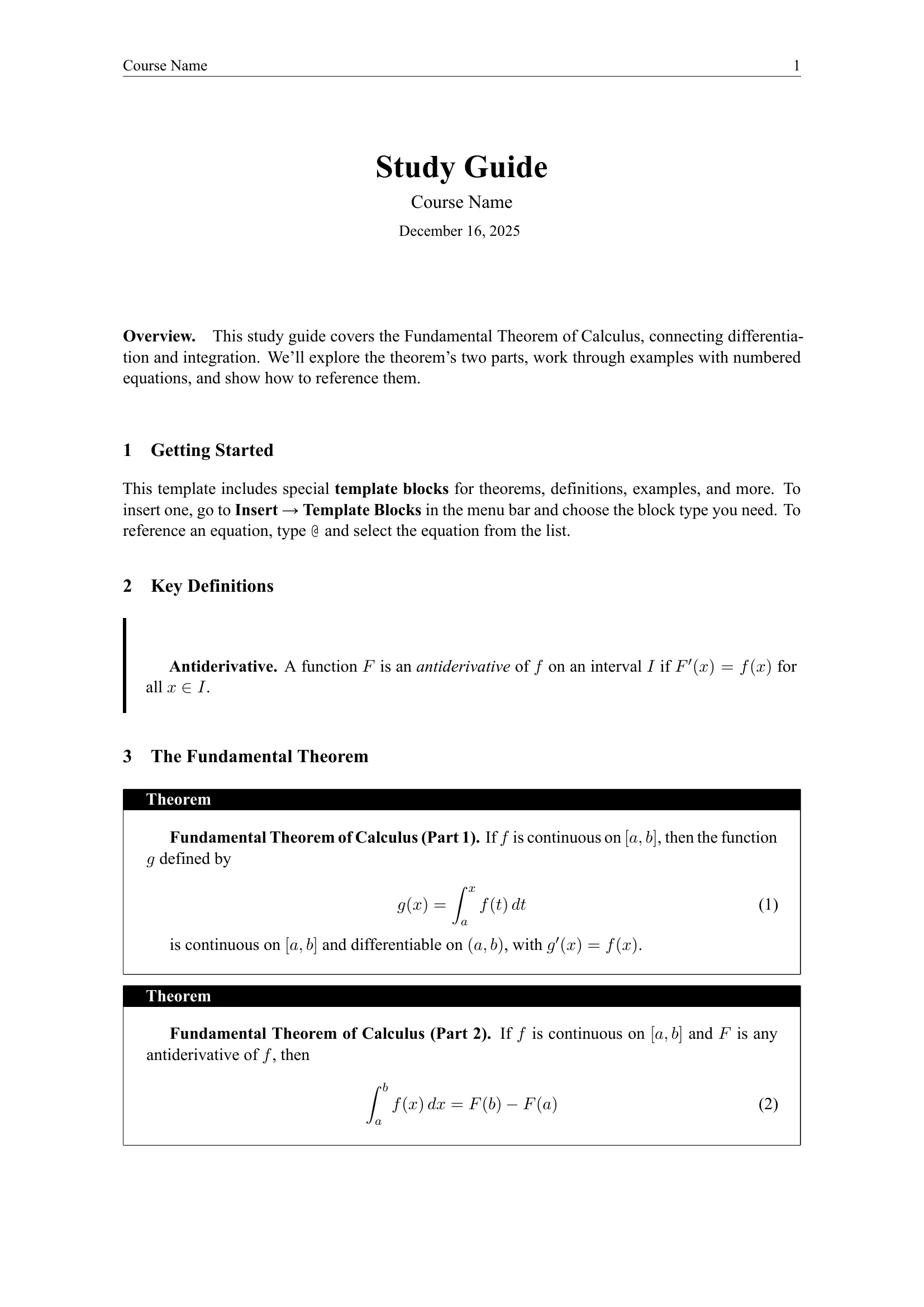
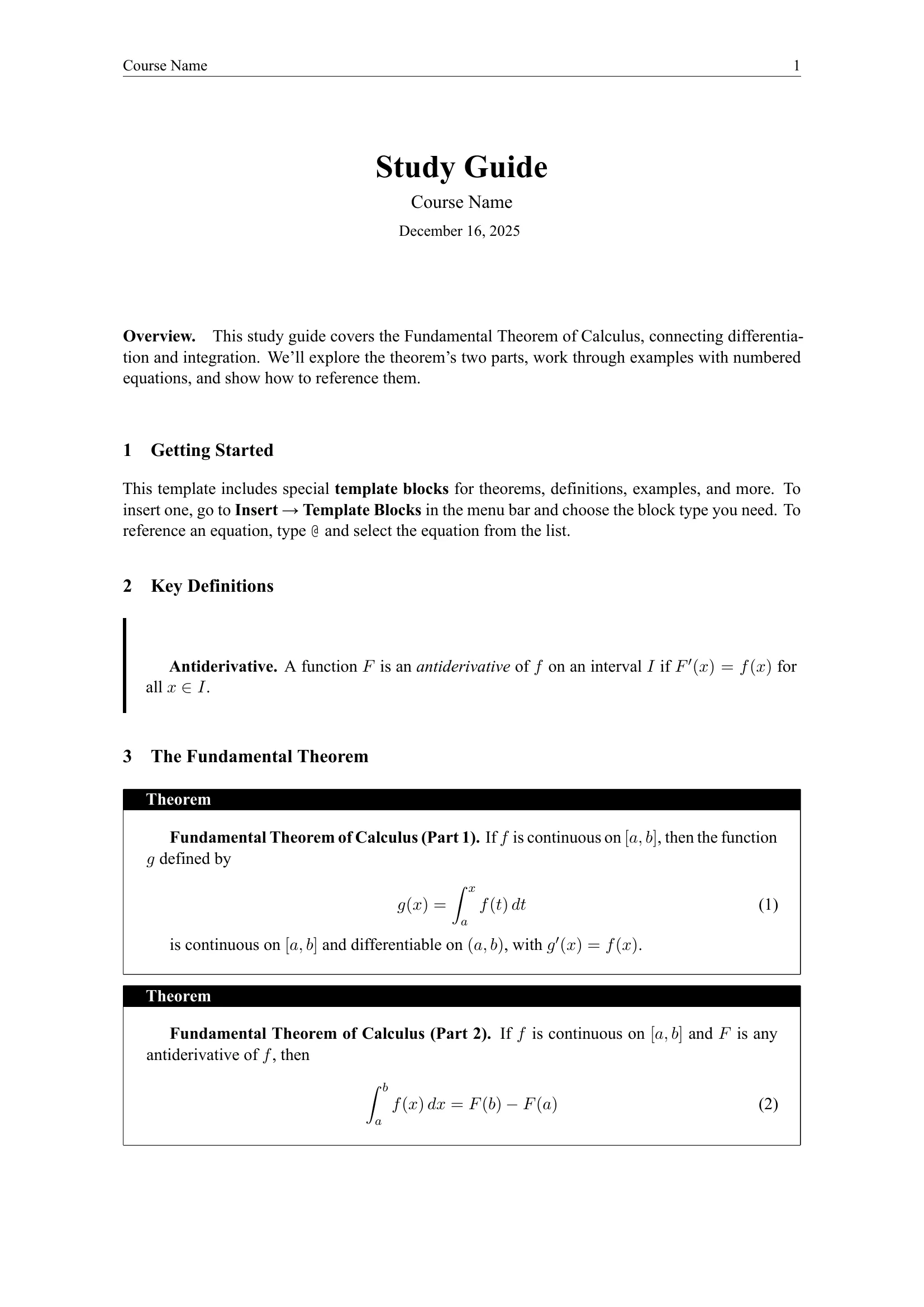
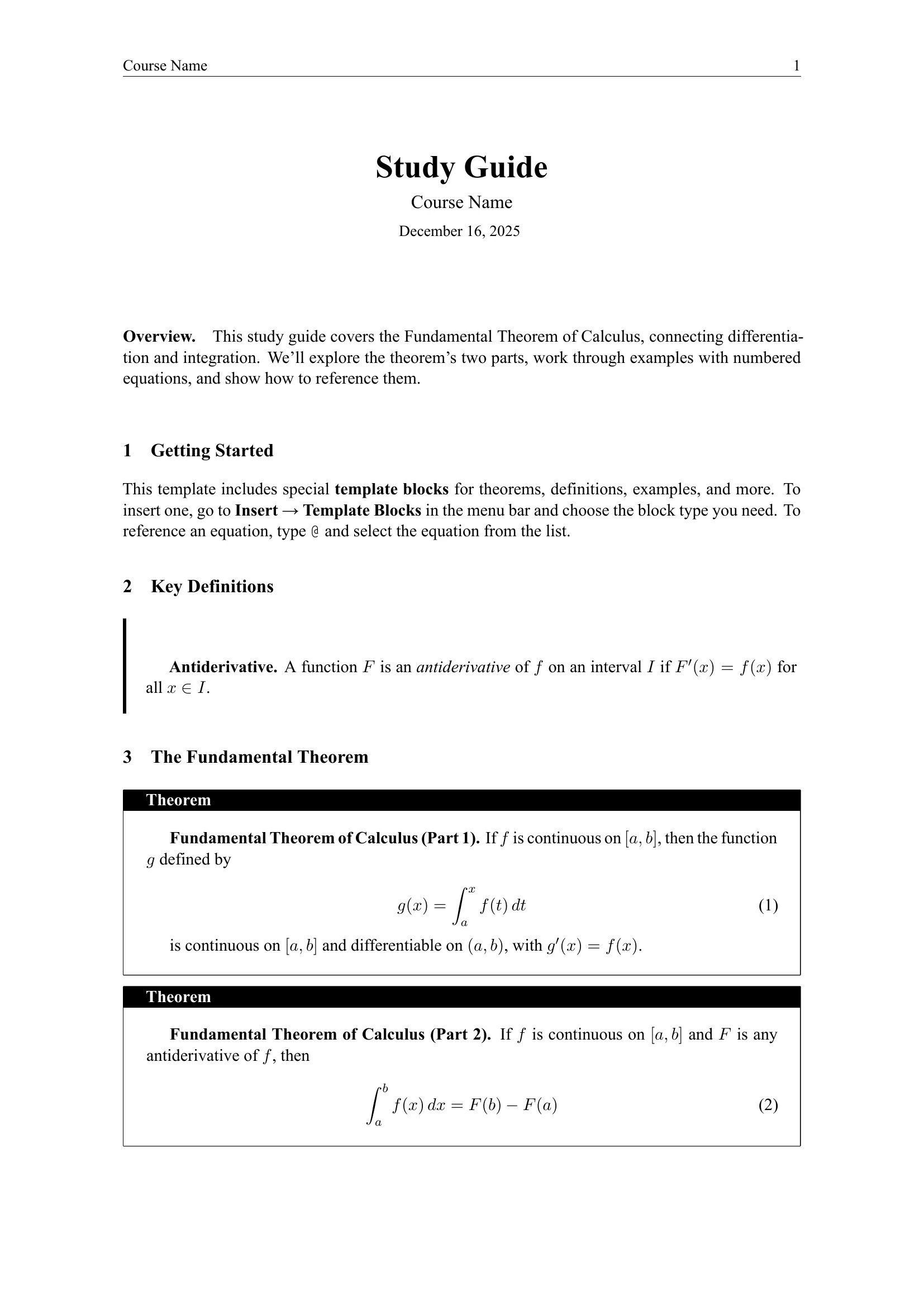
A clean, professional template for academic study guides with theorem environments, definitions, examples, and warnings.
Browse more templates or create your own with custom fonts and styles.

Academic paper template following APA 7th Edition student format guidelines for psychology, education, and social sciences.

Compact multi-column formula reference sheet for exams and quick reference.

IEEE conference paper template with two-column format. Supports column-spanning figures and tables.

Professional template for laboratory instructional documents and handouts. Ideal for instructors creating lab exercises.

A clean, professional template for academic study guides with theorem environments, definitions, examples, and warnings.
Browse more templates or create your own with custom fonts and styles.
Browse more templates or create your own with custom fonts and styles.
Browse more templates or create your own with custom fonts and styles.
Cite documents, tables, and equations instantly. Just type @ and select what you need—Texpile handles the rest.
Reference external papers and sources with full citations
Cross-reference tables and figures automatically
Reference and caption images with proper numbering
Reference mathematical equations with proper numbering
Here are a few more things that might change your mind
Catch typos and improve your writing with intelligent proofreading.
* Powered by Harper
Did you mean to spell `erorrs` this way?
Additional Suggestions
Texpile supports any device with a browser. You can even load documents on a smart watch!
Computers
Full Experience
Tablet
Optimized
Mobile
Beta
Smart Watch
Maybe Don't
Do we even need to mention this feature? It's the bare minimum. Work together with your team in real-time, see changes instantly, and collaborate seamlessly on any document.
Still have questions? Check out our FAQ